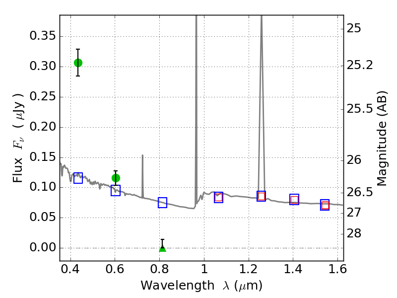
RXC0949+17 ACS+IR detection object #3045

Color images and BPZ results
Catalog: 3045.cat
Black segments are analyzed here.   Roll mouse over color images to view segments.
Best viewed in a wide browser window (1200 pixels or more).   Download SED & P(z) plots to view larger versions.
In P(z) plots: Yellow lines mark the cluster redshift z = 0.383,  

Object #3045   x,y = (4802, 2555)   RA, Dec = (09:49:43.152, 17:07:24.60) = (147.42980, 17.12350)   BPZ = 1.594 [1.428--2.142]   type = 11.00 (SB11_A_0_l)   chisq2 = 111.00   ODDS = 0.46   z_cluster = 0.383