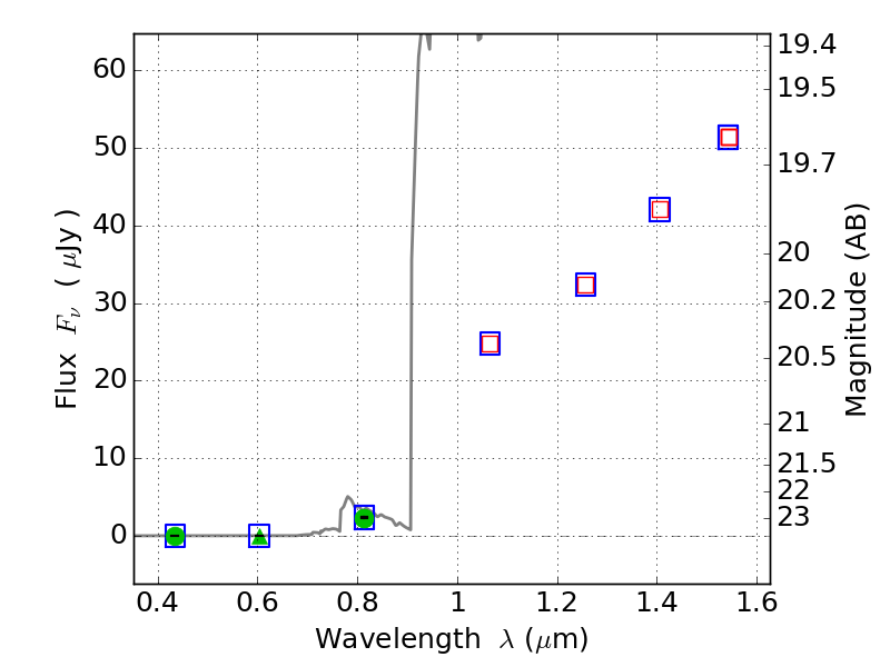
RXC0949+17 ACS+IR detection object #274

Color images and BPZ results
Catalog: 274.cat
Black segments are analyzed here.   Roll mouse over color images to view segments.
Best viewed in a wide browser window (1200 pixels or more).   Download SED & P(z) plots to view larger versions.
In P(z) plots: Yellow lines mark the cluster redshift z = 0.383,  

Object #274   x,y = (3918, 4098)   RA, Dec = (09:49:46.848, 17:08:57.12) = (147.44520, 17.14920)   BPZ = 6.473 [6.198--8.606]   type = 6.00 (Sbc_B10)   chisq2 = 0.00   ODDS = 0.48   z_cluster = 0.383