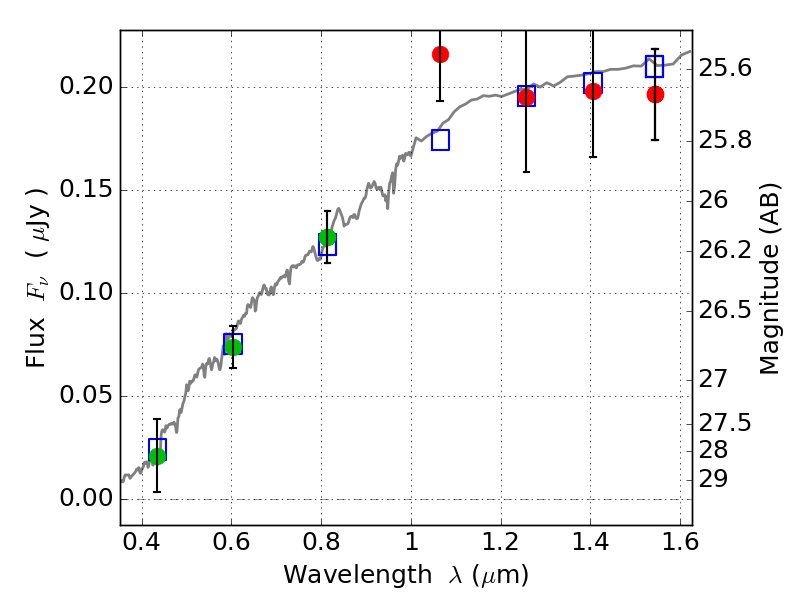
RXC0949+17 ACS+IR detection object #1919

Color images and BPZ results
Catalog: 1919.cat
Black segments are analyzed here.   Roll mouse over color images to view segments.
Best viewed in a wide browser window (1200 pixels or more).   Download SED & P(z) plots to view larger versions.
In P(z) plots: Yellow lines mark the cluster redshift z = 0.383,  

Object #1919   x,y = (3591, 2877)   RA, Dec = (09:49:48.216, 17:07:44.04) = (147.45090, 17.12890)   BPZ = 0.106 [0.042--3.763]   type = 4.00 (Ell4_A_0)   chisq2 = 0.47   ODDS = 0.19   z_cluster = 0.383