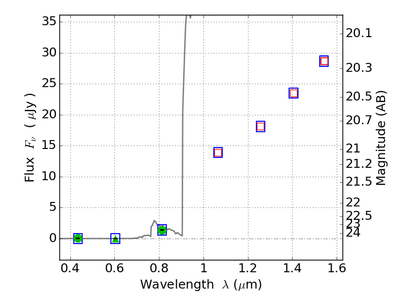
RXC0949+17 ACS+IR detection object #1508

Color images and BPZ results
Catalog: 1508.cat
Black segments are analyzed here.   Roll mouse over color images to view segments.
Best viewed in a wide browser window (1200 pixels or more).   Download SED & P(z) plots to view larger versions.
In P(z) plots: Yellow lines mark the cluster redshift z = 0.383,  

Object #1508   x,y = (474, 3130)   RA, Dec = (09:50:01.272, 17:07:59.16) = (147.50530, 17.13310)   BPZ = 6.453 [6.098--8.918]   type = 6.00 (Sbc_B10)   chisq2 = 0.00   ODDS = 0.44   z_cluster = 0.383