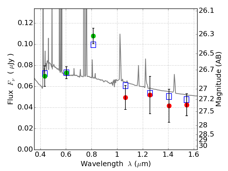
RXC0949+17 IR detection object #921

Color images and BPZ results
Catalog: 921.cat
Black segments are analyzed here.   Roll mouse over color images to view segments.
Best viewed in a wide browser window (1200 pixels or more).   Download SED & P(z) plots to view larger versions.
In P(z) plots: Yellow lines mark the cluster redshift z = 0.383,  

Object #921   x,y = (2592, 1689)   RA, Dec = (09:49:50.712, 17:06:26.64) = (147.46130, 17.10740)   BPZ = 0.134 [0.091--0.248]   type = 10.70 (SB11_A_0_l - SB3_B10)   chisq2 = 0.38   ODDS = 0.74   z_cluster = 0.383