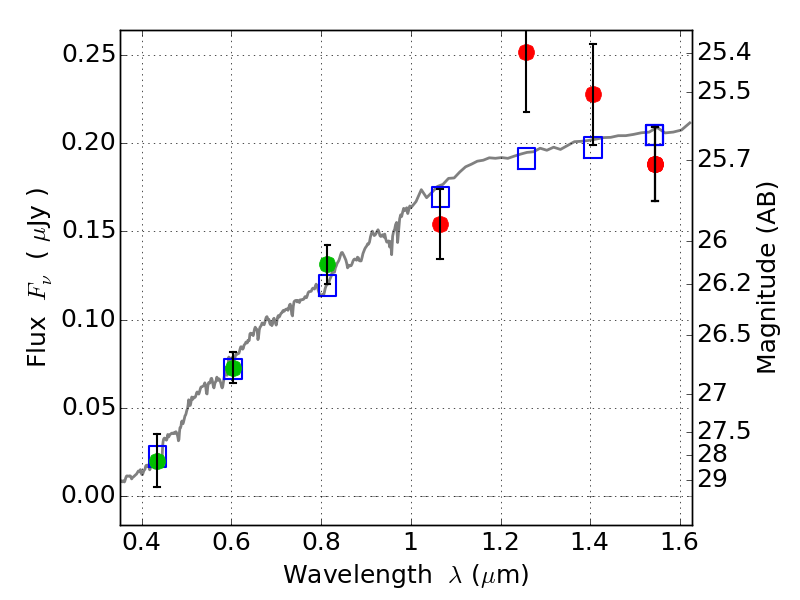
RXC0949+17 IR detection object #773

Color images and BPZ results
Catalog: 773.cat
Black segments are analyzed here.   Roll mouse over color images to view segments.
Best viewed in a wide browser window (1200 pixels or more).   Download SED & P(z) plots to view larger versions.
In P(z) plots: Yellow lines mark the cluster redshift z = 0.383,  

Object #773   x,y = (2187, 1985)   RA, Dec = (09:49:52.416, 17:06:44.28) = (147.46840, 17.11230)   BPZ = 0.118 [0.049--3.938]   type = 4.00 (Ell4_A_0)   chisq2 = 0.96   ODDS = 0.16   z_cluster = 0.383