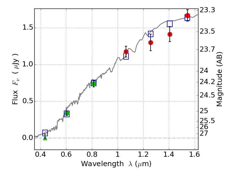
RXC0949+17 IR detection object #767

Color images and BPZ results
Catalog: 767.cat
Black segments are analyzed here.   Roll mouse over color images to view segments.
Best viewed in a wide browser window (1200 pixels or more).   Download SED & P(z) plots to view larger versions.
In P(z) plots: Yellow lines mark the cluster redshift z = 0.383,  

Object #767   x,y = (2390, 2073)   RA, Dec = (09:49:51.552, 17:06:49.68) = (147.46480, 17.11380)   BPZ = 0.330 [0.189--0.534]   type = 2.70 (Ell5_A_0 - Ell6_A_0)   chisq2 = 0.36   ODDS = 0.60   z_cluster = 0.383