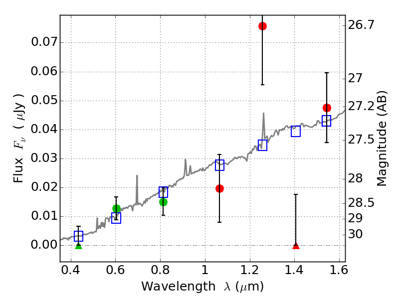
RXC0949+17 IR detection object #754

Color images and BPZ results
Catalog: 754.cat
Black segments are analyzed here.   Roll mouse over color images to view segments.
Best viewed in a wide browser window (1200 pixels or more).   Download SED & P(z) plots to view larger versions.
In P(z) plots: Yellow lines mark the cluster redshift z = 0.383,  

Object #754   x,y = (3625, 2043)   RA, Dec = (09:49:46.392, 17:06:47.88) = (147.44330, 17.11330)   BPZ = 0.394 [0.186--4.083]   type = 6.40 (Sbc_B10 - Scd_B10)   chisq2 = 1.80   ODDS = 0.06   z_cluster = 0.383