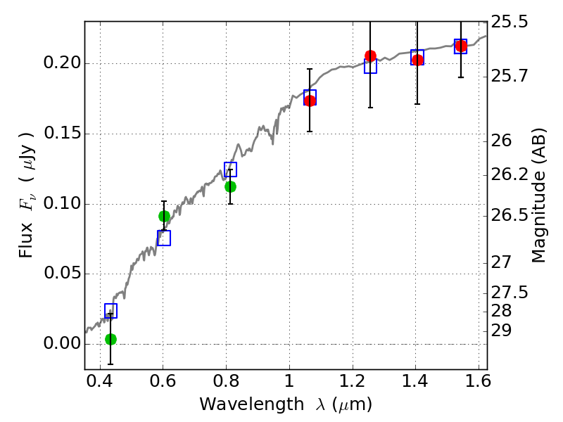
RXC0949+17 IR detection object #351

Color images and BPZ results
Catalog: 351.cat
Black segments are analyzed here.   Roll mouse over color images to view segments.
Best viewed in a wide browser window (1200 pixels or more).   Download SED & P(z) plots to view larger versions.
In P(z) plots: Yellow lines mark the cluster redshift z = 0.383,  

Object #351   x,y = (2115, 2747)   RA, Dec = (09:49:52.704, 17:07:30.00) = (147.46960, 17.12500)   BPZ = 0.111 [0.047--3.893]   type = 4.00 (Ell4_A_0)   chisq2 = 0.35   ODDS = 0.18   z_cluster = 0.383