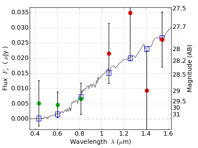
RXC0949+17 IR detection object #195

Color images and BPZ results
Catalog: 195.cat
Black segments are analyzed here.   Roll mouse over color images to view segments.
Best viewed in a wide browser window (1200 pixels or more).   Download SED & P(z) plots to view larger versions.
In P(z) plots: Yellow lines mark the cluster redshift z = 0.383,  

Object #195   x,y = (1654, 3057)   RA, Dec = (09:49:54.648, 17:07:48.72) = (147.47770, 17.13020)   BPZ = 0.825 [0.277--6.269]   type = 3.00 (Ell5_A_0)   chisq2 = 0.55   ODDS = 0.07   z_cluster = 0.383