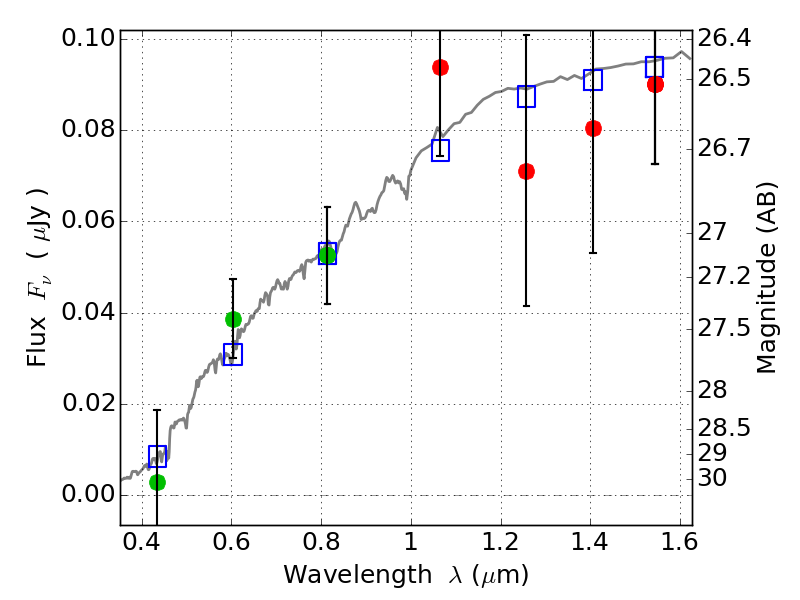
RXC0949+17 IR detection object #984

Color images and BPZ results
Catalog: 984.cat
Black segments are analyzed here.   Roll mouse over color images to view segments.
Best viewed in a wide browser window (1200 pixels or more).   Download SED & P(z) plots to view larger versions.
In P(z) plots: Yellow lines mark the cluster redshift z = 0.383,  

Object #984   x,y = (3317, 1394)   RA, Dec = (09:49:49.368, 17:06:15.12) = (147.45570, 17.10420)   BPZ = 0.159 [0.072--4.084]   type = 4.00 (Ell4_A_0)   chisq2 = 0.28   ODDS = 0.09   z_cluster = 0.383