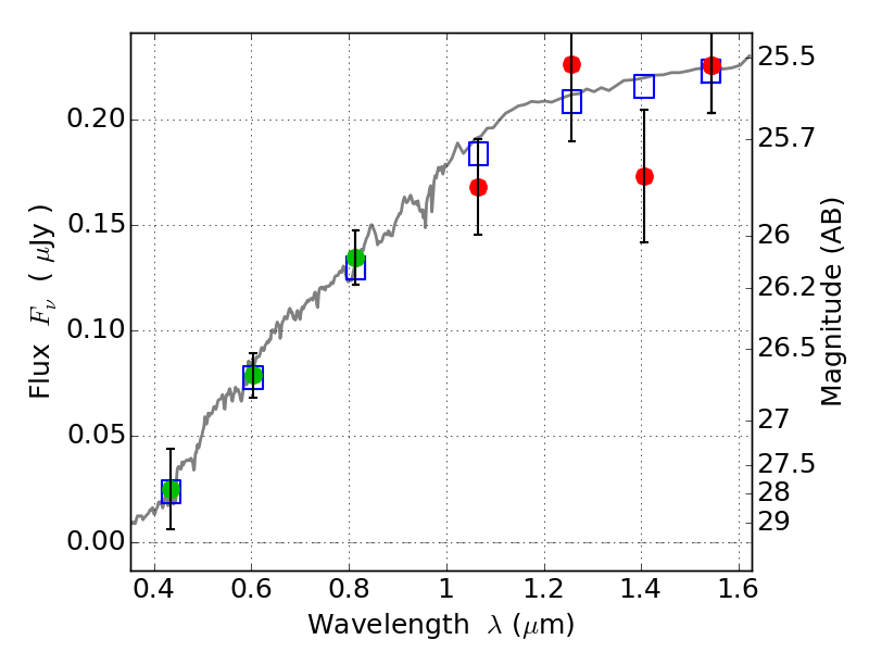
RXC0949+17 IR detection object #954

Color images and BPZ results
Catalog: 954.cat
Black segments are analyzed here.   Roll mouse over color images to view segments.
Best viewed in a wide browser window (1200 pixels or more).   Download SED & P(z) plots to view larger versions.
In P(z) plots: Yellow lines mark the cluster redshift z = 0.383,  

Object #954   x,y = (2994, 1497)   RA, Dec = (09:49:50.712, 17:06:21.24) = (147.46130, 17.10590)   BPZ = 0.124 [0.059--3.941]   type = 4.00 (Ell4_A_0)   chisq2 = 0.31   ODDS = 0.11   z_cluster = 0.383