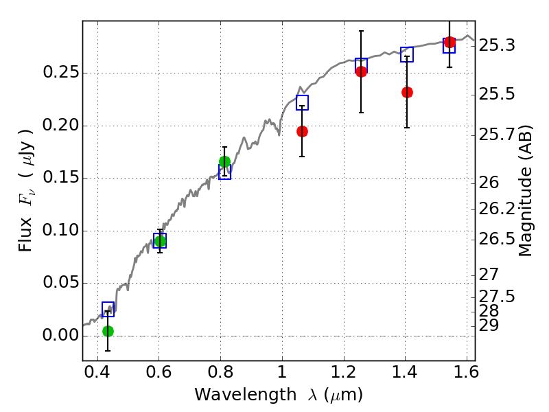
RXC0949+17 IR detection object #519
Color images and BPZ results
Catalog: 519.cat
Black segments are analyzed here. Roll mouse over color images to view segments.
Best viewed in a wide browser window (1200 pixels or more). Download SED & P(z) plots to view larger versions.
In P(z) plots: Yellow lines mark the cluster redshift z = 0.383,
Object #519 x,y = (2317, 2321) RA, Dec = (09:49:53.544, 17:07:10.56) = (147.47310, 17.11960) BPZ = 0.160 [0.085--4.211] type = 4.00 (Ell4_A_0) chisq2 = 0.38 ODDS = 0.11 z_cluster = 0.383