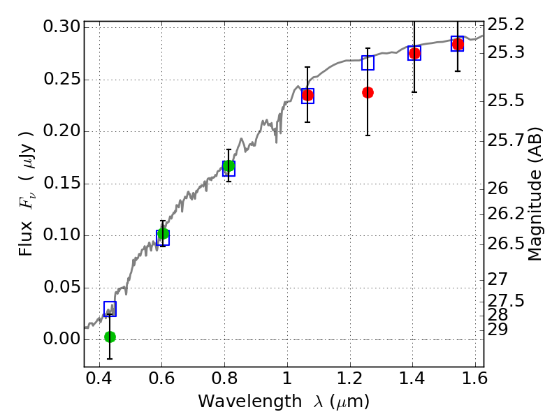
RXC0949+17 IR detection object #409

Color images and BPZ results
Catalog: 409.cat
Black segments are analyzed here.   Roll mouse over color images to view segments.
Best viewed in a wide browser window (1200 pixels or more).   Download SED & P(z) plots to view larger versions.
In P(z) plots: Yellow lines mark the cluster redshift z = 0.383,  

Object #409   x,y = (3041, 2549)   RA, Dec = (09:49:50.520, 17:07:24.24) = (147.46050, 17.12340)   BPZ = 0.131 [0.051--4.093]   type = 4.00 (Ell4_A_0)   chisq2 = 0.18   ODDS = 0.26   z_cluster = 0.383