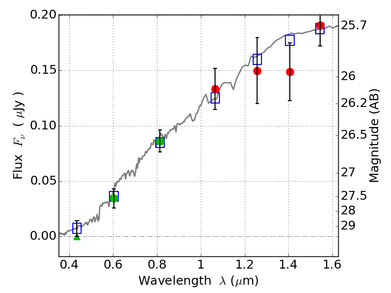
RXC0949+17 IR detection object #339

Color images and BPZ results
Catalog: 339.cat
Black segments are analyzed here.   Roll mouse over color images to view segments.
Best viewed in a wide browser window (1200 pixels or more).   Download SED & P(z) plots to view larger versions.
In P(z) plots: Yellow lines mark the cluster redshift z = 0.383,  

Object #339   x,y = (2379, 2657)   RA, Dec = (09:49:53.280, 17:07:30.72) = (147.47200, 17.12520)   BPZ = 0.355 [0.177--4.304]   type = 3.00 (Ell5_A_0)   chisq2 = 0.21   ODDS = 0.33   z_cluster = 0.383