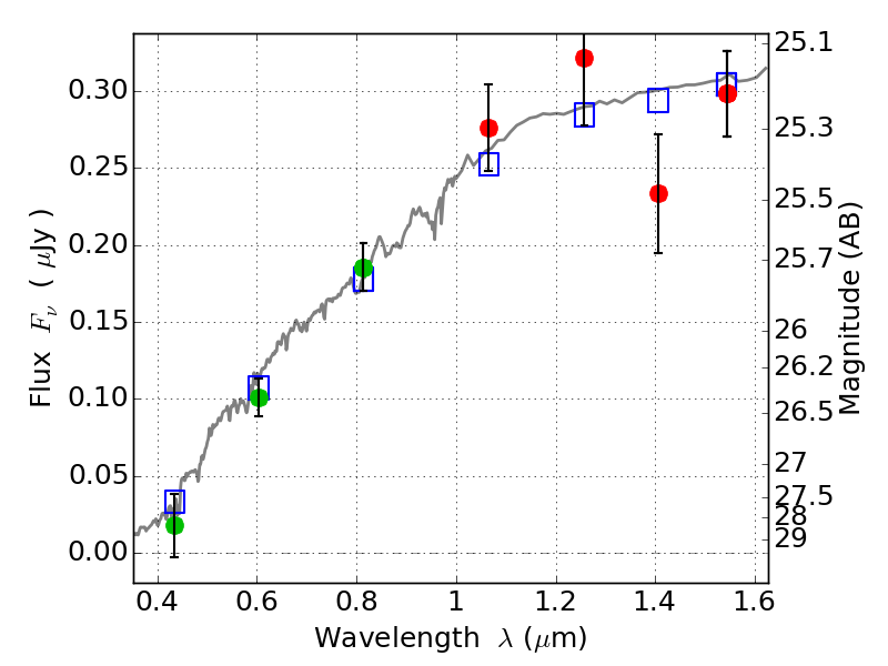
RXC0949+17 IR detection object #285

Color images and BPZ results
Catalog: 285.cat
Black segments are analyzed here.   Roll mouse over color images to view segments.
Best viewed in a wide browser window (1200 pixels or more).   Download SED & P(z) plots to view larger versions.
In P(z) plots: Yellow lines mark the cluster redshift z = 0.383,  

Object #285   x,y = (3817, 2774)   RA, Dec = (09:49:47.280, 17:07:37.92) = (147.44700, 17.12720)   BPZ = 0.116 [0.044--4.069]   type = 4.00 (Ell4_A_0)   chisq2 = 0.51   ODDS = 0.33   z_cluster = 0.383