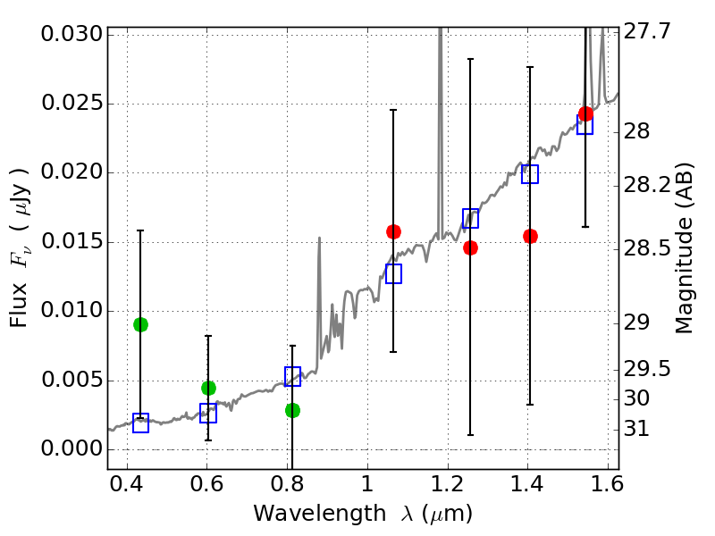
RXC0949+17 IR detection object #120
Color images and BPZ results
Catalog: 120.cat
Black segments are analyzed here. Roll mouse over color images to view segments.
Best viewed in a wide browser window (1200 pixels or more). Download SED & P(z) plots to view larger versions.
In P(z) plots: Yellow lines mark the cluster redshift z = 0.383,
Object #120 x,y = (3211, 3127) RA, Dec = (09:49:49.800, 17:07:58.80) = (147.45750, 17.13300) BPZ = 1.359 [0.527--7.133] type = 6.80 (Scd_B10 - Sbc_B10) chisq2 = 0.29 ODDS = 0.10 z_cluster = 0.383