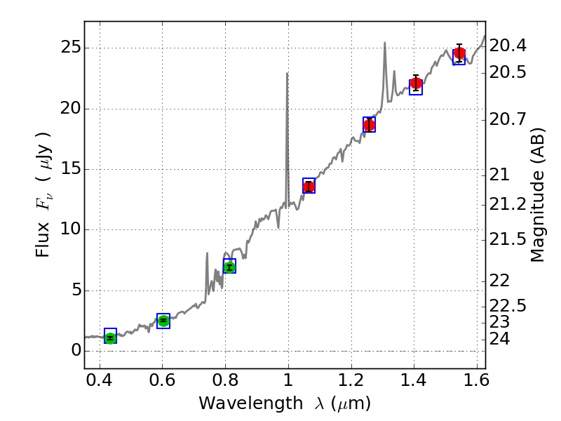
RXC0949+17 IR detection object #221
Color images and BPZ results
Catalog: 221.cat
Black segments are analyzed here. Roll mouse over color images to view segments.
Best viewed in a wide browser window (1200 pixels or more). Download SED & P(z) plots to view larger versions.
In P(z) plots: Yellow lines mark the cluster redshift z = 0.383,
Object #221 x,y = (2370, 2848) RA, Dec = (09:49:53.328, 17:07:42.24) = (147.47220, 17.12840) BPZ = 0.990 [0.906--1.050] type = 6.40 (Sbc_B10 - Scd_B10) chisq2 = 0.03 ODDS = 0.97 z_cluster = 0.383