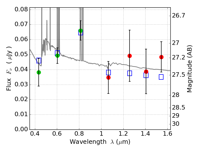
RXC0949+17 IR detection object #922

Color images and BPZ results
Catalog: 922.cat
Black segments are analyzed here.   Roll mouse over color images to view segments.
Best viewed in a wide browser window (1200 pixels or more).   Download SED & P(z) plots to view larger versions.
In P(z) plots: Yellow lines mark the cluster redshift z = 0.383,  

Object #922   x,y = (3235, 1580)   RA, Dec = (09:49:49.704, 17:06:26.28) = (147.45710, 17.10730)   BPZ = 0.238 [0.103--3.381]   type = 11.00 (SB11_A_0_l)   stellarity = 0.75   chisq2 = 0.67   ODDS = 0.31   z_cluster = 0.383