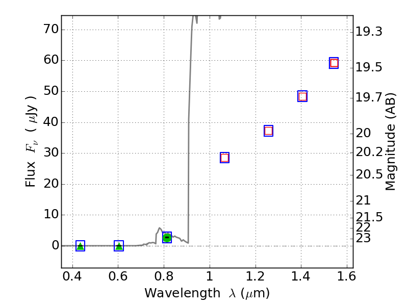
RXC0949+17 ACS+IR detection object #71

Color images and BPZ results
Catalog: 71.cat
Black segments are analyzed here.   Roll mouse over color images to view segments.
Best viewed in a wide browser window (1200 pixels or more).   Download SED & P(z) plots to view larger versions.
In P(z) plots: Yellow lines mark the cluster redshift z = 0.383,  

Object #71   x,y = (3773, 4362)   RA, Dec = (09:49:47.448, 17:09:12.96) = (147.44770, 17.15360)   BPZ = 6.475 [6.211--8.527]   type = 6.00 (Sbc_B10)   chisq2 = 0.00   ODDS = 0.49   z_cluster = 0.383