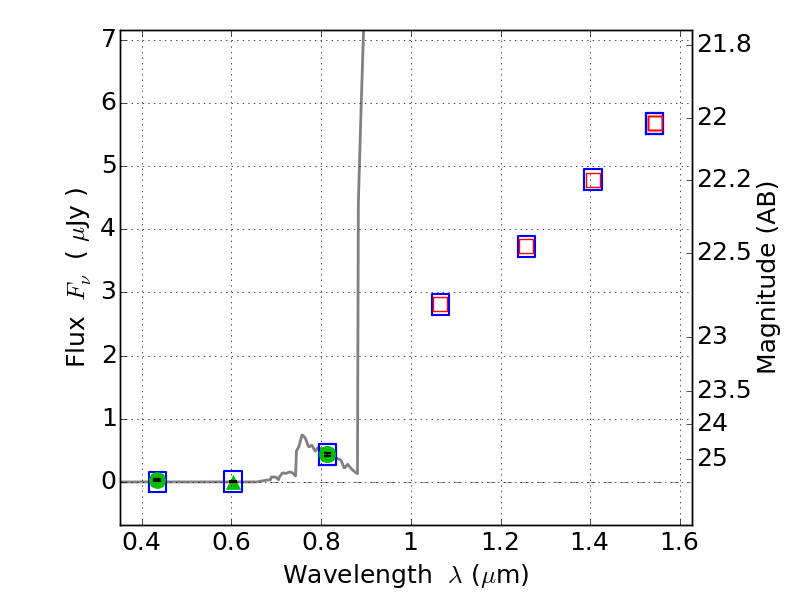
RXC0949+17 ACS+IR detection object #5637

Color images and BPZ results
Catalog: 5637.cat
Black segments are analyzed here.   Roll mouse over color images to view segments.
Best viewed in a wide browser window (1200 pixels or more).   Download SED & P(z) plots to view larger versions.
In P(z) plots: Yellow lines mark the cluster redshift z = 0.383,  

Object #5637   x,y = (1958, 464)   RA, Dec = (09:49:55.056, 17:05:19.32) = (147.47940, 17.08870)   BPZ = 6.253 [5.844--9.087]   type = 6.00 (Sbc_B10)   chisq2 = 0.01   ODDS = 0.36   z_cluster = 0.383