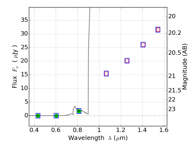
RXC0949+17 ACS+IR detection object #5453
Color images and BPZ results
Catalog: 5453.cat
Black segments are analyzed here. Roll mouse over color images to view segments.
Best viewed in a wide browser window (1200 pixels or more). Download SED & P(z) plots to view larger versions.
In P(z) plots: Yellow lines mark the cluster redshift z = 0.383,
Object #5453 x,y = (1789, 695) RA, Dec = (09:49:55.752, 17:05:33.00) = (147.48230, 17.09250) BPZ = 6.405 [6.088--8.657] type = 6.00 (Sbc_B10) chisq2 = 0.00 ODDS = 0.49 z_cluster = 0.383