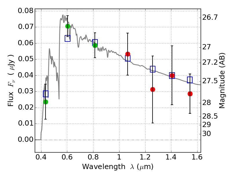
RXC0949+17 ACS+IR detection object #4744

Color images and BPZ results
Catalog: 4744.cat
Black segments are analyzed here.   Roll mouse over color images to view segments.
Best viewed in a wide browser window (1200 pixels or more).   Download SED & P(z) plots to view larger versions.
In P(z) plots: Yellow lines mark the cluster redshift z = 0.383,  

Object #4744   x,y = (3630, 1319)   RA, Dec = (09:49:48.048, 17:06:10.44) = (147.45020, 17.10290)   BPZ = 3.427 [0.157--3.702]   type = 11.00 (SB11_A_0_l)   chisq2 = 0.42   ODDS = 0.62   z_cluster = 0.383