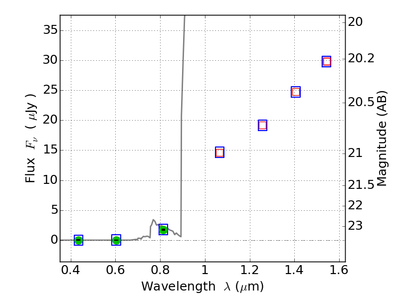
RXC0949+17 ACS+IR detection object #4661
Color images and BPZ results
Catalog: 4661.cat
Black segments are analyzed here. Roll mouse over color images to view segments.
Best viewed in a wide browser window (1200 pixels or more). Download SED & P(z) plots to view larger versions.
In P(z) plots: Yellow lines mark the cluster redshift z = 0.383,
Object #4661 x,y = (1406, 1395) RA, Dec = (09:49:57.360, 17:06:15.12) = (147.48900, 17.10420) BPZ = 6.361 [6.047--8.683] type = 6.00 (Sbc_B10) chisq2 = 0.00 ODDS = 0.49 z_cluster = 0.383