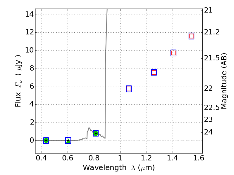
RXC0949+17 ACS+IR detection object #4621
Color images and BPZ results
Catalog: 4621.cat
Black segments are analyzed here. Roll mouse over color images to view segments.
Best viewed in a wide browser window (1200 pixels or more). Download SED & P(z) plots to view larger versions.
In P(z) plots: Yellow lines mark the cluster redshift z = 0.383,
Object #4621 x,y = (1423, 1404) RA, Dec = (09:49:57.288, 17:06:15.48) = (147.48870, 17.10430) BPZ = 6.295 [5.940--8.915] type = 6.00 (Sbc_B10) chisq2 = 0.00 ODDS = 0.39 z_cluster = 0.383