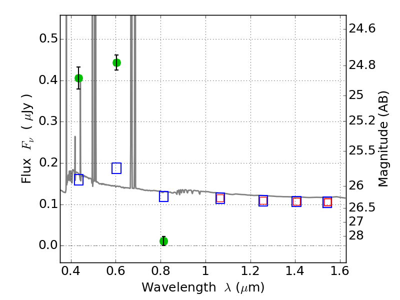
RXC0949+17 ACS+IR detection object #4006
Color images and BPZ results
Catalog: 4006.cat
Black segments are analyzed here. Roll mouse over color images to view segments.
Best viewed in a wide browser window (1200 pixels or more). Download SED & P(z) plots to view larger versions.
In P(z) plots: Yellow lines mark the cluster redshift z = 0.383,
Object #4006 x,y = (5232, 1782) RA, Dec = (09:49:41.352, 17:06:38.16) = (147.42230, 17.11060) BPZ = 0.017 [0.010--0.033] type = 11.00 (SB11_A_0_l) chisq2 = 294.10 ODDS = 1.00 z_cluster = 0.383