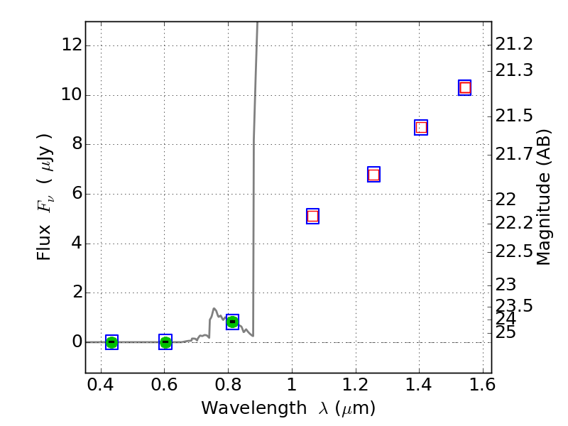
RXC0949+17 ACS+IR detection object #3790

Color images and BPZ results
Catalog: 3790.cat
Black segments are analyzed here.   Roll mouse over color images to view segments.
Best viewed in a wide browser window (1200 pixels or more).   Download SED & P(z) plots to view larger versions.
In P(z) plots: Yellow lines mark the cluster redshift z = 0.383,  

Object #3790   x,y = (5194, 1903)   RA, Dec = (09:49:41.496, 17:06:45.36) = (147.42290, 17.11260)   BPZ = 6.234 [5.869--8.803]   type = 6.00 (Sbc_B10)   chisq2 = 0.00   ODDS = 0.42   z_cluster = 0.383