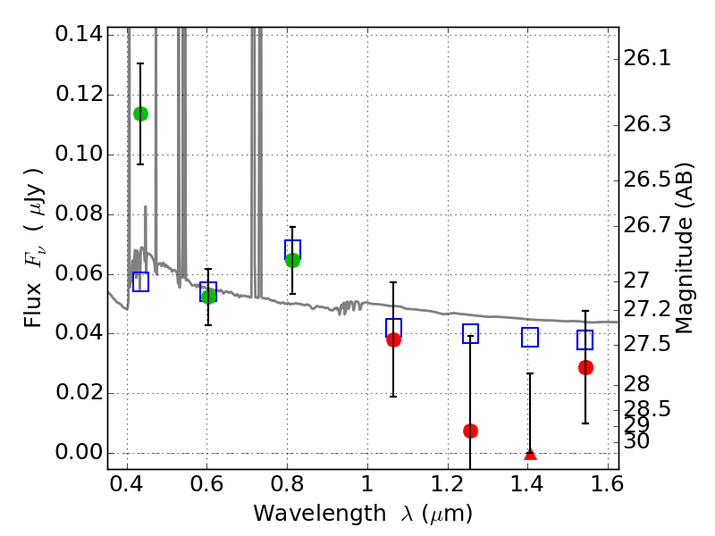
RXC0949+17 ACS+IR detection object #3577
Color images and BPZ results
Catalog: 3577.cat
Black segments are analyzed here. Roll mouse over color images to view segments.
Best viewed in a wide browser window (1200 pixels or more). Download SED & P(z) plots to view larger versions.
In P(z) plots: Yellow lines mark the cluster redshift z = 0.383,
Object #3577 x,y = (3315, 2026) RA, Dec = (09:49:49.368, 17:06:52.92) = (147.45570, 17.11470) BPZ = 0.090 [0.073--2.699] type = 11.00 (SB11_A_0_l) chisq2 = 2.05 ODDS = 0.14 z_cluster = 0.383