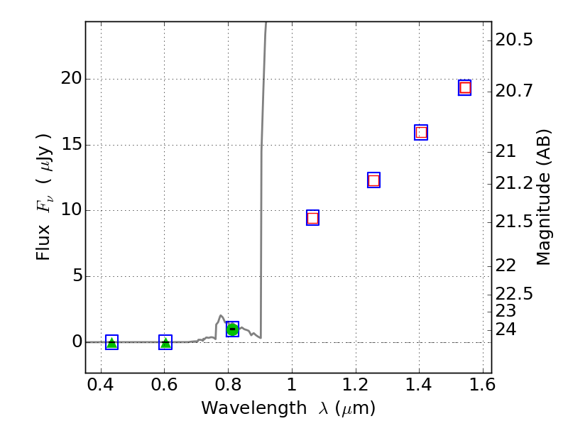
RXC0949+17 ACS+IR detection object #3514
Color images and BPZ results
Catalog: 3514.cat
Black segments are analyzed here. Roll mouse over color images to view segments.
Best viewed in a wide browser window (1200 pixels or more). Download SED & P(z) plots to view larger versions.
In P(z) plots: Yellow lines mark the cluster redshift z = 0.383,
Object #3514 x,y = (1061, 2058) RA, Dec = (09:49:58.800, 17:06:54.72) = (147.49500, 17.11520) BPZ = 6.428 [6.028--8.844] type = 6.00 (Sbc_B10) chisq2 = 0.00 ODDS = 0.43 z_cluster = 0.383