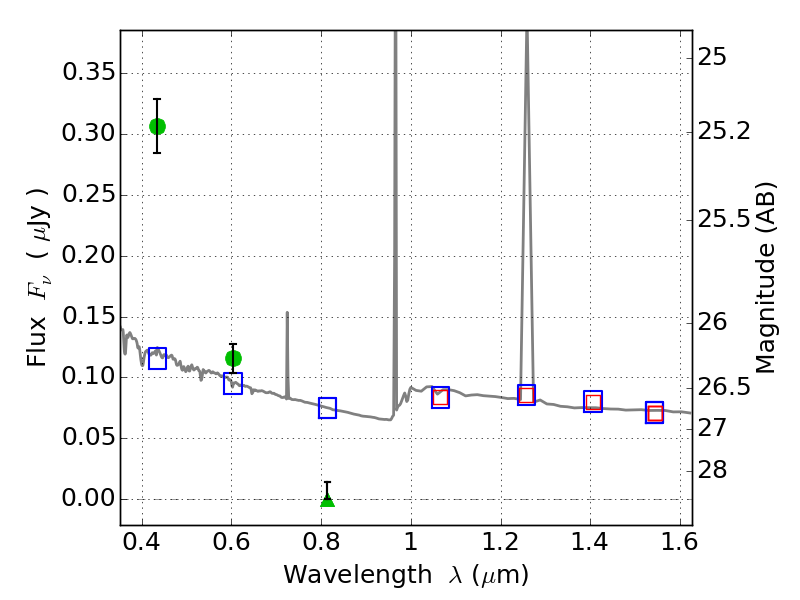
RXC0949+17 ACS+IR detection object #3045
Color images and BPZ results
Catalog: 3045.cat
Black segments are analyzed here. Roll mouse over color images to view segments.
Best viewed in a wide browser window (1200 pixels or more). Download SED & P(z) plots to view larger versions.
In P(z) plots: Yellow lines mark the cluster redshift z = 0.383,
Object #3045 x,y = (4802, 2555) RA, Dec = (09:49:43.152, 17:07:24.60) = (147.42980, 17.12350) BPZ = 1.594 [1.428--2.142] type = 11.00 (SB11_A_0_l) chisq2 = 111.00 ODDS = 0.46 z_cluster = 0.383