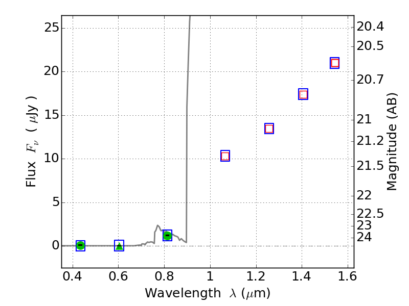
RXC0949+17 ACS+IR detection object #2581
Color images and BPZ results
Catalog: 2581.cat
Black segments are analyzed here. Roll mouse over color images to view segments.
Best viewed in a wide browser window (1200 pixels or more). Download SED & P(z) plots to view larger versions.
In P(z) plots: Yellow lines mark the cluster redshift z = 0.383,
Object #2581 x,y = (4779, 2589) RA, Dec = (09:49:43.248, 17:07:26.76) = (147.43020, 17.12410) BPZ = 6.385 [5.996--9.553] type = 6.00 (Sbc_B10) chisq2 = 0.00 ODDS = 0.41 z_cluster = 0.383