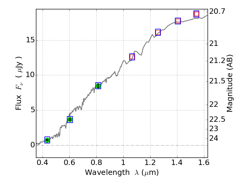
RXC0949+17 ACS+IR detection object #2515

Color images and BPZ results
Catalog: 2515.cat
Black segments are analyzed here.   Roll mouse over color images to view segments.
Best viewed in a wide browser window (1200 pixels or more).   Download SED & P(z) plots to view larger versions.
In P(z) plots: Yellow lines mark the cluster redshift z = 0.383,  

Object #2515   x,y = (1014, 2509)   RA, Dec = (09:49:58.992, 17:07:21.72) = (147.49580, 17.12270)   BPZ = 0.334 [0.269--0.408]   type = 2.60 (Ell5_A_0 - Ell6_A_0)   chisq2 = 0.00   ODDS = 0.86   z_cluster = 0.383