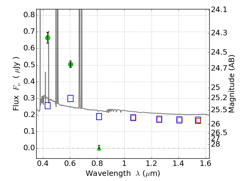
RXC0949+17 ACS+IR detection object #2122
Color images and BPZ results
Catalog: 2122.cat
Black segments are analyzed here. Roll mouse over color images to view segments.
Best viewed in a wide browser window (1200 pixels or more). Download SED & P(z) plots to view larger versions.
In P(z) plots: Yellow lines mark the cluster redshift z = 0.383,
Object #2122 x,y = (4698, 2772) RA, Dec = (09:49:43.584, 17:07:37.56) = (147.43160, 17.12710) BPZ = 0.017 [0.010--0.033] type = 11.00 (SB11_A_0_l) chisq2 = 270.60 ODDS = 1.00 z_cluster = 0.383