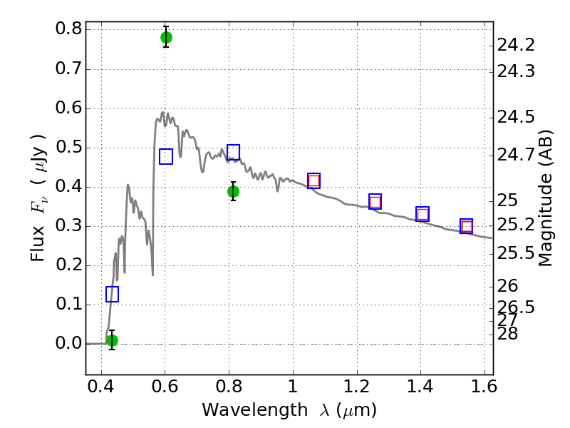
RXC0949+17 ACS+IR detection object #203
Color images and BPZ results
Catalog: 203.cat
Black segments are analyzed here. Roll mouse over color images to view segments.
Best viewed in a wide browser window (1200 pixels or more). Download SED & P(z) plots to view larger versions.
In P(z) plots: Yellow lines mark the cluster redshift z = 0.383,
Object #203 x,y = (3896, 4179) RA, Dec = (09:49:46.944, 17:09:02.16) = (147.44560, 17.15060) BPZ = 3.634 [3.572--3.695] type = 11.00 (SB11_A_0_l) chisq2 = 72.59 ODDS = 1.00 z_cluster = 0.383