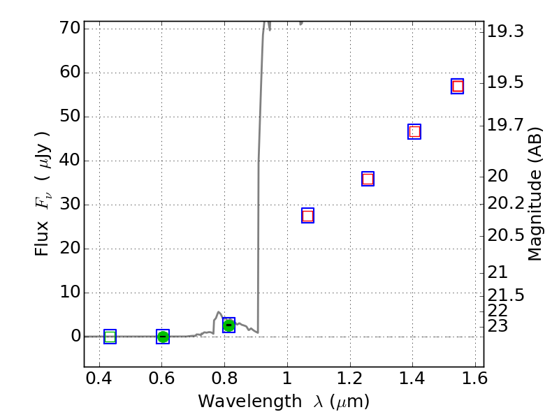
RXC0949+17 ACS+IR detection object #1680
Color images and BPZ results
Catalog: 1680.cat
Black segments are analyzed here. Roll mouse over color images to view segments.
Best viewed in a wide browser window (1200 pixels or more). Download SED & P(z) plots to view larger versions.
In P(z) plots: Yellow lines mark the cluster redshift z = 0.383,
Object #1680 x,y = (518, 3022) RA, Dec = (09:50:01.080, 17:07:52.68) = (147.50450, 17.13130) BPZ = 6.472 [6.217--8.573] type = 6.00 (Sbc_B10) chisq2 = 0.00 ODDS = 0.50 z_cluster = 0.383