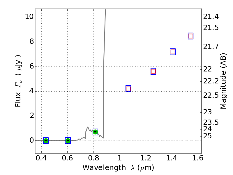
RXC0949+17 ACS+IR detection object #1371
Color images and BPZ results
Catalog: 1371.cat
Black segments are analyzed here. Roll mouse over color images to view segments.
Best viewed in a wide browser window (1200 pixels or more). Download SED & P(z) plots to view larger versions.
In P(z) plots: Yellow lines mark the cluster redshift z = 0.383,
Object #1371 x,y = (4430, 3238) RA, Dec = (09:49:44.712, 17:08:05.64) = (147.43630, 17.13490) BPZ = 6.215 [5.853--8.837] type = 6.00 (Sbc_B10) chisq2 = 0.00 ODDS = 0.41 z_cluster = 0.383