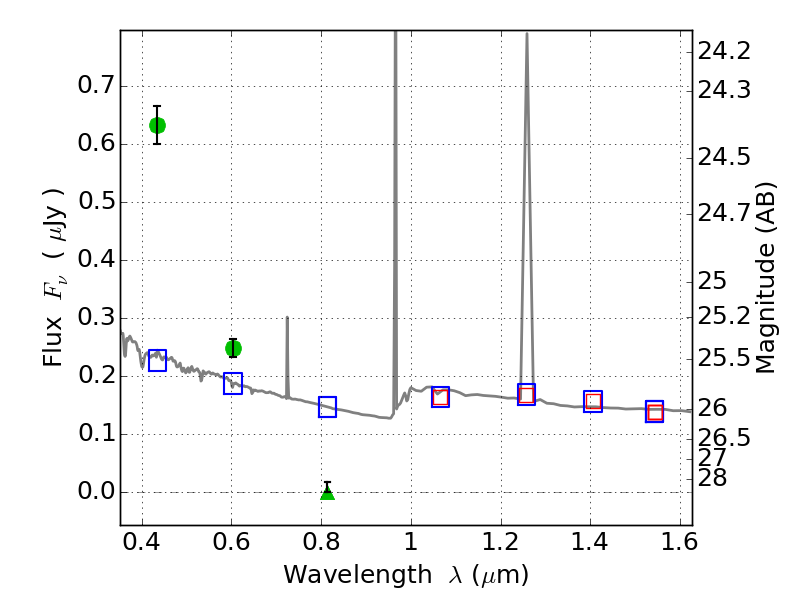
RXC0949+17 ACS+IR detection object #1325
Color images and BPZ results
Catalog: 1325.cat
Black segments are analyzed here. Roll mouse over color images to view segments.
Best viewed in a wide browser window (1200 pixels or more). Download SED & P(z) plots to view larger versions.
In P(z) plots: Yellow lines mark the cluster redshift z = 0.383,
Object #1325 x,y = (4412, 3268) RA, Dec = (09:49:44.784, 17:08:07.44) = (147.43660, 17.13540) BPZ = 1.594 [1.493--2.008] type = 11.00 (SB11_A_0_l) chisq2 = 209.10 ODDS = 0.71 z_cluster = 0.383