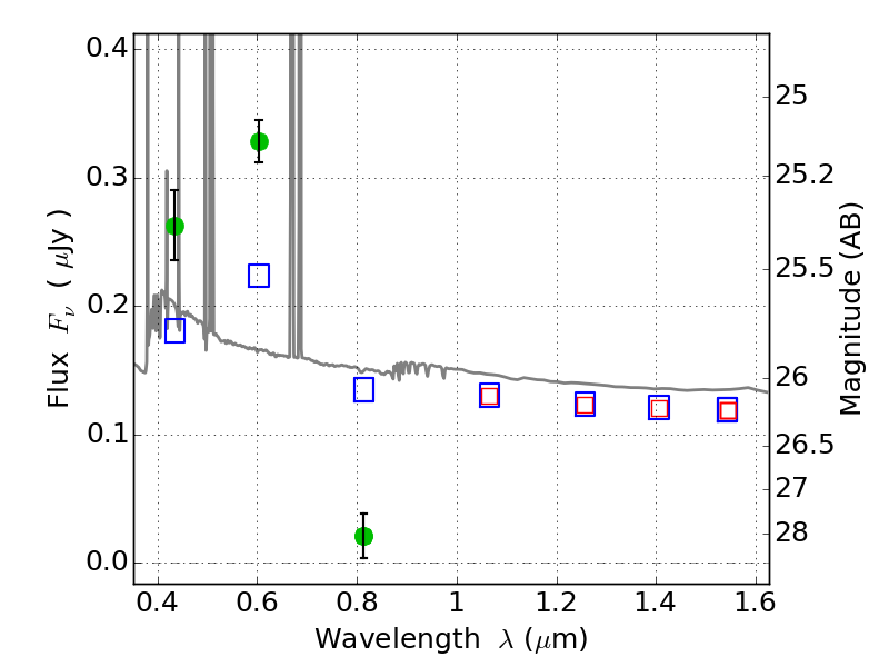
RXC0949+17 ACS+IR detection object #1192
Color images and BPZ results
Catalog: 1192.cat
Black segments are analyzed here. Roll mouse over color images to view segments.
Best viewed in a wide browser window (1200 pixels or more). Download SED & P(z) plots to view larger versions.
In P(z) plots: Yellow lines mark the cluster redshift z = 0.383,
Object #1192 x,y = (4344, 3370) RA, Dec = (09:49:45.072, 17:08:13.56) = (147.43780, 17.13710) BPZ = 0.018 [0.010--0.038] type = 11.00 (SB11_A_0_l) chisq2 = 79.53 ODDS = 1.00 z_cluster = 0.383