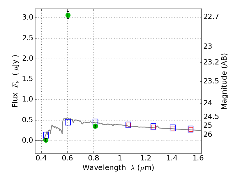
RXC0949+17 ACS+IR detection object #662

Color images and BPZ results
Catalog: 662.cat
Black segments are analyzed here.   Roll mouse over color images to view segments.
Best viewed in a wide browser window (1200 pixels or more).   Download SED & P(z) plots to view larger versions.
In P(z) plots: Yellow lines mark the cluster redshift z = 0.383,  

Object #662   x,y = (4156, 3674)   RA, Dec = (09:49:45.840, 17:08:31.92) = (147.44100, 17.14220)   BPZ = 3.610 [3.510--3.687]   type = 11.00 (SB11_A_0_l)   chisq2 = 772.40   ODDS = 1.00   z_cluster = 0.383