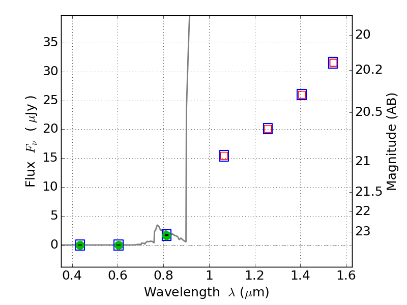
RXC0949+17 ACS+IR detection object #5453

Color images and BPZ results
Catalog: 5453.cat
Black segments are analyzed here.   Roll mouse over color images to view segments.
Best viewed in a wide browser window (1200 pixels or more).   Download SED & P(z) plots to view larger versions.
In P(z) plots: Yellow lines mark the cluster redshift z = 0.383,  

Object #5453   x,y = (1789, 695)   RA, Dec = (09:49:55.752, 17:05:33.00) = (147.48230, 17.09250)   BPZ = 6.405 [6.088--8.657]   type = 6.00 (Sbc_B10)   chisq2 = 0.00   ODDS = 0.49   z_cluster = 0.383