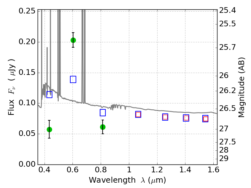
RXC0949+17 ACS+IR detection object #512

Color images and BPZ results
Catalog: 512.cat
Black segments are analyzed here.   Roll mouse over color images to view segments.
Best viewed in a wide browser window (1200 pixels or more).   Download SED & P(z) plots to view larger versions.
In P(z) plots: Yellow lines mark the cluster redshift z = 0.383,  

Object #512   x,y = (2108, 3818)   RA, Dec = (09:49:54.432, 17:08:40.56) = (147.47680, 17.14460)   BPZ = 0.020 [0.010--0.047]   type = 11.00 (SB11_A_0_l)   chisq2 = 34.20   ODDS = 1.00   z_cluster = 0.383