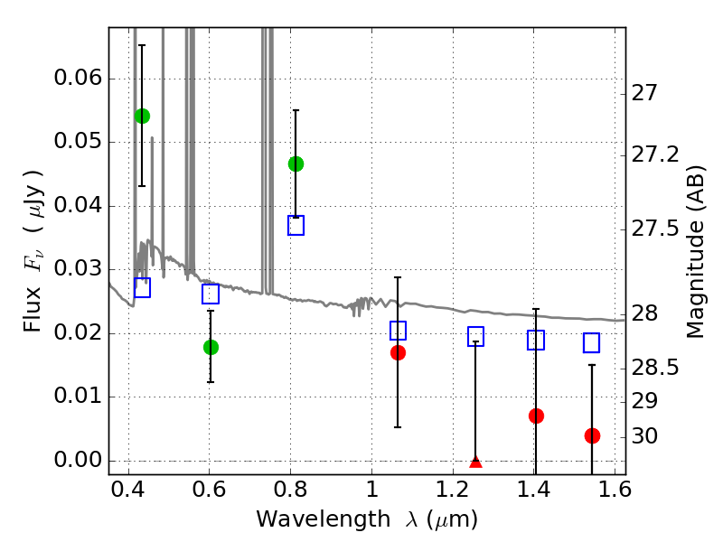
RXC0949+17 ACS+IR detection object #4758

Color images and BPZ results
Catalog: 4758.cat
Black segments are analyzed here.   Roll mouse over color images to view segments.
Best viewed in a wide browser window (1200 pixels or more).   Download SED & P(z) plots to view larger versions.
In P(z) plots: Yellow lines mark the cluster redshift z = 0.383,  

Object #4758   x,y = (3513, 1311)   RA, Dec = (09:49:48.552, 17:06:10.08) = (147.45230, 17.10280)   BPZ = 0.116 [0.082--0.868]   type = 11.00 (SB11_A_0_l)   chisq2 = 2.36   ODDS = 0.61   z_cluster = 0.383