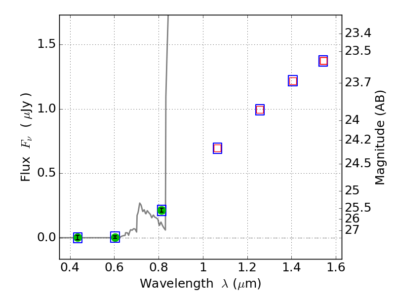
RXC0949+17 ACS+IR detection object #429

Color images and BPZ results
Catalog: 429.cat
Black segments are analyzed here.   Roll mouse over color images to view segments.
Best viewed in a wide browser window (1200 pixels or more).   Download SED & P(z) plots to view larger versions.
In P(z) plots: Yellow lines mark the cluster redshift z = 0.383,  

Object #429   x,y = (4037, 3898)   RA, Dec = (09:49:46.344, 17:08:45.24) = (147.44310, 17.14590)   BPZ = 5.842 [1.479--8.683]   type = 6.00 (Sbc_B10)   chisq2 = 0.00   ODDS = 0.22   z_cluster = 0.383