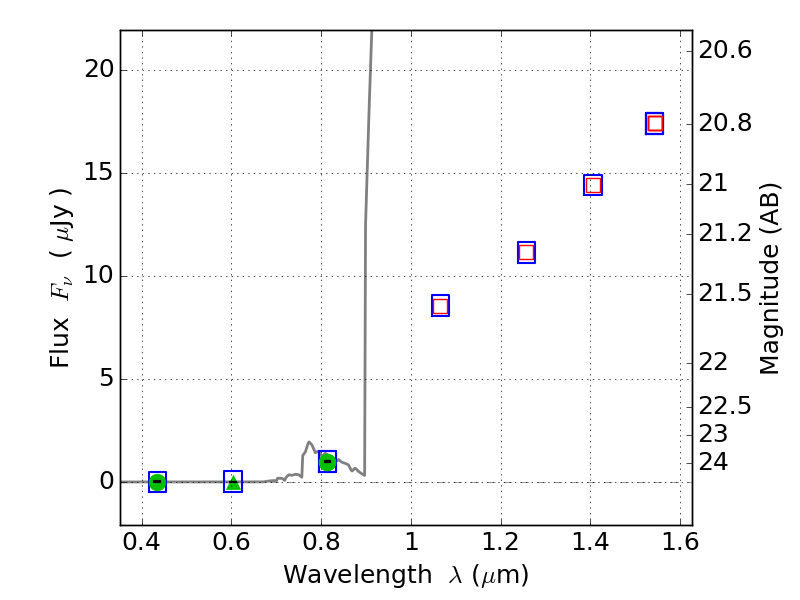
RXC0949+17 ACS+IR detection object #3857

Color images and BPZ results
Catalog: 3857.cat
Black segments are analyzed here.   Roll mouse over color images to view segments.
Best viewed in a wide browser window (1200 pixels or more).   Download SED & P(z) plots to view larger versions.
In P(z) plots: Yellow lines mark the cluster redshift z = 0.383,  

Object #3857   x,y = (1176, 1867)   RA, Dec = (09:49:58.320, 17:06:43.20) = (147.49300, 17.11200)   BPZ = 6.387 [5.998--8.871]   type = 6.00 (Sbc_B10)   chisq2 = 0.00   ODDS = 0.42   z_cluster = 0.383