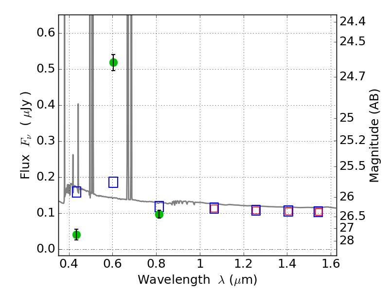
RXC0949+17 ACS+IR detection object #2757

Color images and BPZ results
Catalog: 2757.cat
Black segments are analyzed here.   Roll mouse over color images to view segments.
Best viewed in a wide browser window (1200 pixels or more).   Download SED & P(z) plots to view larger versions.
In P(z) plots: Yellow lines mark the cluster redshift z = 0.383,  

Object #2757   x,y = (4357, 2403)   RA, Dec = (09:49:45.000, 17:07:15.60) = (147.43750, 17.12100)   BPZ = 0.017 [0.010--0.043]   type = 11.00 (SB11_A_0_l)   chisq2 = 205.60   ODDS = 1.00   z_cluster = 0.383