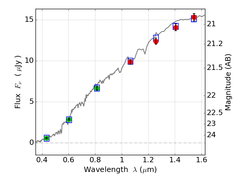
RXC0949+17 ACS+IR detection object #2616

Color images and BPZ results
Catalog: 2616.cat
Black segments are analyzed here.   Roll mouse over color images to view segments.
Best viewed in a wide browser window (1200 pixels or more).   Download SED & P(z) plots to view larger versions.
In P(z) plots: Yellow lines mark the cluster redshift z = 0.383,  

Object #2616   x,y = (3332, 2470)   RA, Dec = (09:49:49.296, 17:07:19.56) = (147.45540, 17.12210)   BPZ = 0.376 [0.299--0.416]   type = 3.10 (Ell5_A_0 - Ell4_A_0)   chisq2 = 0.03   ODDS = 0.91   z_cluster = 0.383