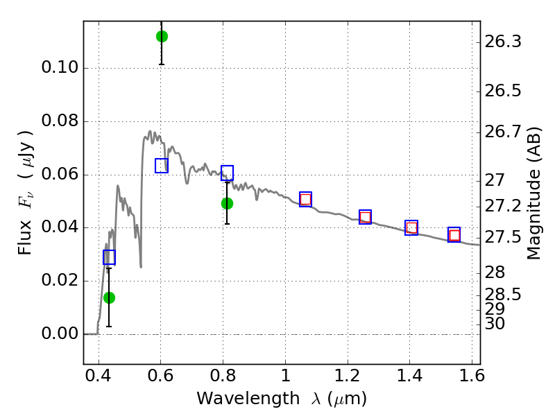
RXC0949+17 ACS+IR detection object #2301

Color images and BPZ results
Catalog: 2301.cat
Black segments are analyzed here.   Roll mouse over color images to view segments.
Best viewed in a wide browser window (1200 pixels or more).   Download SED & P(z) plots to view larger versions.
In P(z) plots: Yellow lines mark the cluster redshift z = 0.383,  

Object #2301   x,y = (4427, 2681)   RA, Dec = (09:49:44.712, 17:07:32.16) = (147.43630, 17.12560)   BPZ = 3.424 [0.402--3.685]   type = 11.00 (SB11_A_0_l)   chisq2 = 22.62   ODDS = 0.58   z_cluster = 0.383