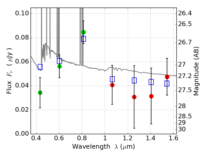
RXC0949+17 ACS+IR detection object #1698

Color images and BPZ results
Catalog: 1698.cat
Black segments are analyzed here.   Roll mouse over color images to view segments.
Best viewed in a wide browser window (1200 pixels or more).   Download SED & P(z) plots to view larger versions.
In P(z) plots: Yellow lines mark the cluster redshift z = 0.383,  

Object #1698   x,y = (4139, 3008)   RA, Dec = (09:49:45.912, 17:07:51.96) = (147.44130, 17.13110)   BPZ = 0.202 [0.101--3.796]   type = 11.00 (SB11_A_0_l)   chisq2 = 0.58   ODDS = 0.42   z_cluster = 0.383