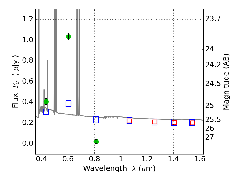
RXC0949+17 ACS+IR detection object #1585

Color images and BPZ results
Catalog: 1585.cat
Black segments are analyzed here.   Roll mouse over color images to view segments.
Best viewed in a wide browser window (1200 pixels or more).   Download SED & P(z) plots to view larger versions.
In P(z) plots: Yellow lines mark the cluster redshift z = 0.383,  

Object #1585   x,y = (4536, 3071)   RA, Dec = (09:49:44.256, 17:07:55.56) = (147.43440, 17.13210)   BPZ = 0.016 [0.010--0.031]   type = 11.00 (SB11_A_0_l)   chisq2 = 325.80   ODDS = 1.00   z_cluster = 0.383