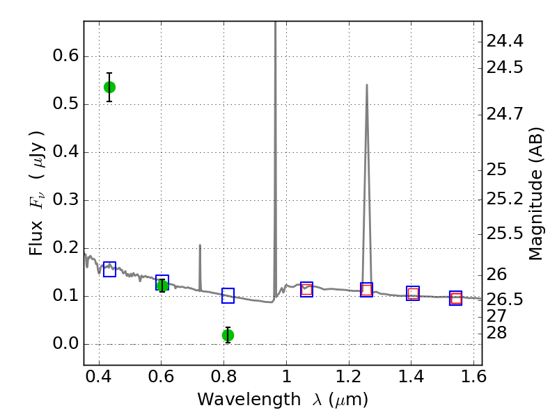
RXC0949+17 ACS+IR detection object #1406

Color images and BPZ results
Catalog: 1406.cat
Black segments are analyzed here.   Roll mouse over color images to view segments.
Best viewed in a wide browser window (1200 pixels or more).   Download SED & P(z) plots to view larger versions.
In P(z) plots: Yellow lines mark the cluster redshift z = 0.383,  

Object #1406   x,y = (4441, 3213)   RA, Dec = (09:49:44.664, 17:08:04.20) = (147.43610, 17.13450)   BPZ = 1.593 [1.429--2.122]   type = 11.00 (SB11_A_0_l)   chisq2 = 182.10   ODDS = 0.52   z_cluster = 0.383